Kürzlich führte ein Forschungs team des West China Hospital der Sichuan University eine eingehende Analyse der Daten der National Health and Nutrition Examination Survey (NHANES) von 2009 bis 2018 durch, an denen 19.280 Teilnehmer teilnahmen. Die Ergebnisse zeigten, dass Carotinoide einen signifikanten Effekt bei der Verlang samung der Beschleunigung der phänotyp ischen Alterung haben, wobei β-Carotin und β-Crypto xanthin besonders bemerkens wert sind. Dies zeigt, dass diese natürlichen Pigmente ein großes Potenzial auf dem Gebiet des Anti-Aging haben.

Carotinoide sind natürliche fettlösliche Pigmente, die in Algen, Pilzen, Bakterien und Pflanzen weit verbreitet sind. Mehr als 700 natürliche Carotinoide wurden ident ifi ziert. Aufgrund ihrer chemischen Struktur können Carotinoide in zwei Kategorien unterteilt werden: eine, die nur Kohlenstoff-und Wasserstoff elemente ohne Sauerstoff enthält (wie α-Carotin, β-Carotin und Lycopin). und eine andere, die aus ihren oxidierten Derivaten besteht, die sauerstoff funktionelle Gruppen wie Hydroxyl-, Keto-, Carbo xyl-und Methoxy gruppen enthalten (Wie Lutein und Zeaxanthin). Unter den im menschlichen Blut zirkulieren den Carotinoiden machen sechs Typen-α-Carotin, β-Carotin, β-Crypto xanthin, Lycopin, Lutein und Zeaxanthin-mehr als 95% aus.
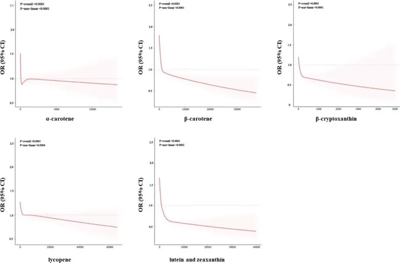
Eine Studie, die auf den Daten der National Health and Nutrition Examination Survey (NHANES) basiert, untersuchte die Beziehung zwischen der Aufnahme von Carotin oiden in der Nahrung und dem biologischen Alterung prozess. Die Forschung erhielt Carotinoid-Aufnahme werte durch Analyse von Ernährungs daten und bewertete das biologische Alter mit den Methoden PhenoAge und Klemera-Doubal (KDM).
Die Ergebnisse zeigten, dass höhere Carotin oid spiegel in der Nahrung signifikant mit einer langsameren biologischen Alterung srate verbunden waren, was darauf hindeutet, dass Carotinoide potenzielle Anti-Aging-Wirkungen haben. Weitere Analysen ergaben eine signifikante nichtlineare Beziehung zwischen den Carotin oid spiegeln und der Beschleunigung des biologischen Alters, was darauf hinweist, dass ihre Schutz wirkung bei höheren Aufnahme niveaus verstärkt wird.

Forschungs ergebnisse zeigen, dass β-Carotin und β-Crypto xanthin besonders signifikante Auswirkungen auf Anti-Aging haben. Darüber hinaus variieren die Anti-Aging-Wirkungen von Carotinoiden zwischen verschiedenen Populationen. Insbesondere jüngere Personen (unter 60 Jahren), Frauen, Patienten mit Blut hochdruck und Patienten mit Diabetes profitieren signifikanter von einer hohen Carotin oid aufnahme. was dazu beiträgt, den Prozess des biologischen Alterns zu verlangsamen.

Altern ist ein komplexer biologischer Prozess, der durch einen allmählichen Rückgang der physio logischen Funktionen und eine erhöhte Anfälligkeit für Krankheiten gekennzeichnet ist. Oxidativer Stress und Entzündungen sind Schlüssel faktoren für den Alterung prozess. Carotinoide besitzen aufgrund ihrer Moleküls truktur, die zahlreiche konjugierte Doppel bindungen enthält, starke anti oxidative Fähigkeiten. Sie können freie Radikale wirksam neutralisieren und Entzündungen reduzieren, wodurch reaktive Sauerstoffs pezies (ROS) wie Peroxid radikale und Singulett sauerstoff im Körper eliminiert werden, was eine entscheidende Rolle bei der Förderung eines gesunden Alterns spielt.
Das Anti-Aging-Potenzial von Carotinoiden beruht in erster Linie auf ihrer Fähigkeit, die Trans lo kation des mit Kern faktor Erythroid 2 verbundenen Faktors 2 (Nrf2) zum c zu fördernEllkern. Sobald Nrf2 in den Kern trans lokalisiert ist, initiiert es die Transkript ion von anti oxidativen und entgiften den Enzymen. Wenn sich die Zellen teilen, verkürzen sich ihre Telomere allmählich, bis der Zelltod auftritt, und ROS und Entzündungen beschleunigen diese Verkürzung der Telomere. Es wurde berichtet, dass eine hohe Nahrungs aufnahme von β-Carotin mit einer längeren Telomer länge verbunden ist.
Carotinoide sind aufgrund ihrer starken Farbkraft und stabilen Farbtöne in verschiedenen Bereichen weit verbreitet, z. B. Farbstoffe für Getränke, Bonbons und andere Lebensmittel. sowie Ernährungs zusatzstoffe in Kinder lebensmitteln. Carotinoide besitzen nicht nur Vitamin-A-Aktivität, sondern tragen auch zur Herz-Kreislauf-und Haut gesundheit bei. Sie spielen eine wichtige Rolle bei der physio logischen Regulierung und Prävention von Krankheiten im menschlichen Körper.
Carotinoide schützen die kardio vaskuläre Gesundheit, indem sie die Oxidation von Lipoprotein niedriger Dichte (LDL) hemmen, die Entwicklung von Atheros klerose verhindern und Gefäß zellen vor oxidativen Schäden schützen, wodurch die Gefäß funktion aufrechterhalten wird. Unter diesen haben Lycopin und Lutein in dieser Hinsicht erhebliche Vorteile. Eine Meta analyze ergab, dass Personen mit Lycopin über die Nahrung ein um 17% reduziertes Risiko für Herz-Kreislauf-Erkrankungen hatten. Die Wirkung von Lutein ist 15-mal so hoch wie die von Lycopin und zehnmal so hoch wie die von β-Carotin, wodurch die Lipid peroxid ation wirksam verhindert wird.
Photo aging wird haupt sächlich durch Umweltfaktoren verursacht und manifestiert sich in verminderter Haute lastizität, abnormaler Pigmentierung, Trockenheit und Juckreiz. Ultraviolette (UV) Strahlung ist ein wichtiger Auslöser, der die Hautalterung beschleunigt, indem sie die Erzeugung reaktiver Sauerstoffs pezies (ROS) fördert, die die Schutz-und Reparatur funktionen der Haut stören. Studien haben gezeigt, dass die Ergänzung mit Carotinoiden die UV-induzierte ROS-Bildung wirksam verhindern kann. Zum Beispiel verbessert Astaxanthin die Gesundheit der Haut und übt Anti-Photo aging-Effekte aus, indem es oxidative Schäden hemmt. Es kann die Melanin synthese unterdrücken, die Pigmentierung reduzieren, die Haut feuchtigkeit erhöhen und die trockene Haut verbessern. Untersuchungen zeigen, dass die orale Einnahme von Astaxanthin Alters flecken und Falten reduzieren und die Hydratation und Elastizität der Haut verbessern kann. Darüber hinaus kann Astaxanthin UV-induzierte Hautschäden verringern, Feuchtigkeit verlust und Haut ausschläge reduzieren und die Gesundheit der Haut schützen.
Die diätetische Aufnahme von Carotinoiden gilt als grundlegende Strategie zur Vorbeugung von nicht alkoholischen Fettleber erkrankungen (NAFLD). Lycopin zeigt hepatoprotektive Eigenschaften gegen verschiedene Leber erkrankungen, einschl ießlich alkoholischer und nicht alkoholischer Fettleber erkrankungen. Die leber schützenden Wirkungen von Lycopin beruhen haupt sächlich auf seinen starken anti oxidativen Fähigkeiten, die durch reaktive Sauerstoffs pezies (ROS) induzierte Zell schäden wirksam hemmen. Darüber hinaus haben Studien gezeigt, dass β-Carotin, eines der am häufigsten vorkommenden Carotinoide in der Leber, signifikante hepatoprotektive Wirkungen aufweist. Eine Erhöhung der Nahrungs aufnahme von β-Carotin kann das Risiko einer Leber steatose und einer durch freie Radikale vermittelten Schädigung von Leberzellen erheblich verringern.
Die alters bedingte Makula degeneration (AMD) ist eine häufige Erkrankung, die das Sehvermögen beeint rächt igt, die haupt sächlich durch degenerative Schäden an den Photo rezeptoren bei reifen Personen verursacht wird. Es ist zur Hauptursache für Blindheit bei Menschen über 65 Jahren geworden. Es wird vorausgesagt, dass bis 2040 die globale Prävalenz von AMD wird auf fast 288 Millionen Menschen ansteigen [6].
Frühe Manifestationen von AMD umfassen eine verminderte Sehkraft, eine verringerte Kontraste mpfindlichkeit und eine verminderte Sehschärfe, die durch eine allmähliche Abnahme des funktionellen Sehvermögens im Verlauf des Zustands gekennzeichnet ist. Carotinoide spielen eine entscheidende Rolle bei der Aufrechterhaltung der Gesundheit und Funktion der Makula region. Unter den verschiedenen Carotinoiden wurde gezeigt, dass Lutein und Zeaxanthin die Blut-Netzhaut-Schranke überschreiten und sich in der Netzhaut ansammeln, um Makula pigment zu bilden, ein Prozess, der für den Makula schutz unerlässlich ist.
Darüber hinaus wird angenommen, dass Astaxanthin, ein Mitglied der Lutein familie, das haupt sächlich in Meeres organismen vorkommt, potenzielle Schutz wirkungen gegen licht induzierte Netzhaut schäden und Funktions störungen hat. Aufgrund seiner einzigartigen Moleküls truktur kann Astaxanthin die Zelldoppels chicht membran durchqueren und reaktive Sauerstoffs pezies sowohl in der inneren als auch in der äußeren Zellschicht effektiv abspeisen. wodurch ein Abwehr mechanismus gegen oxidativen Stress für die Netzhaut bereit gestellt wird.
Referenz:
[1] https://link.springer.com/article/10.1007/s10522-024-10160-4
[2] https://www.mdpi.com/1422-0067/24/20/15199
[3] https://pubmed.ncbi.nlm.nih.gov/28318092/
[4] https://pubmed.ncbi.nlm.nih.gov/31605782/
[5] https://pubmed.ncbi.nlm.nih.gov/31904420/
[6] https:// pUbmed.ncbi.nlm.nih.gov/34829613/
Bild quelle: pixabay, Links: https://pixabay.com/zh/photos/smoothie-fruit-vegetables-1578240/